Ngưỡng đầu vào và bảng quy đổi điểm trúng tuyển tương đương giữa các phương thức xét tuyển đại học hệ chính quy năm 2025
Hội đồng tuyển sinh trình độ đại học chính quy Trường Đại học Hoa Sen thông báo ngưỡng đầu vào và bảng quy đổi điểm trúng tuyển tương đương giữa các phương thức xét tuyển đại học chính quy năm 2025. Cụ thể như sau:
- Mã tuyển sinh và phạm vi tuyển sinh
- Mã tuyển sinh của Trường: HSU
- Phạm vi tuyển sinh: Trường tuyển sinh trên phạm vi toàn quốc.
- Các phương thức xét tuyển quy đổi điểm trúng tuyển tương đương
Phương thức 1: Xét tuyển trên kết quả Kỳ thi tốt nghiệp trung học phổ thông năm 2025.
Phương thức 2: Xét tuyển trên kết quả học tập (học bạ) trung học phổ thông. Thí sinh có thể chọn các hình thức sau:
- Xét tuyển trên kết quả học tập (học bạ) trung học phổ thông theo tổ hợp 03 môn.
- Xét tuyển trên kết quả học tập (học bạ) trung học phổ thông (3 học kỳ).
- Xét tuyển trên kết quả học tập (học bạ) trung học phổ thông (6 học kỳ).
Phương thức 3: Xét tuyển bằng phương thức phỏng vấn.
Phương thức 4: Xét tuyển trên kết quả Kỳ thi đánh giá năng lực Đại học Quốc gia Thành phố Hồ Chí Minh và Đại học Quốc gia Hà Nội năm 2025.
Phương thức 5: Xét tuyển thẳng vào Trường Đại học Hoa Sen.
- Ngưỡng đầu vào
Xem Phụ lục 1 kèm thông báo này.
- Bảng quy đổi điểm trúng tuyển tương đương giữa các phương thức xét tuyển
Xem Phụ lục 2 kèm thông báo này.
PHỤ LỤC 1
Về ngưỡng đầu vào đối với các phương thức xét tuyển
| S T T | Ngành bậc đại học | Mã ngành | Phương thức 1 (Điểm thi THPT) | Phương thức 2 (Điểm học bạ THPT) (*) | Phương thức 3 (Điểm phỏng vấn) | Phương thức 4 (Điểm thi ĐGNL TPHCM) (**) | Phương thức 5 Xét tuyển thẳng (***) | |
| 1 | Quản trị kinh doanh | 7340101 | 15 | 18 | 18 | 600 | 18 | |
| 2 | Quản trị Nhân lực | 7340404 | ||||||
| 3 | Kinh tế thể thao | 7310113 | 17,0 | 19,45 | 19,45 | 652 | ||
| 4 | Marketing | 7340115 | 15 | 18 | 18 | 600 | ||
| 5 | Quản trị sự kiện | 7340412 | ||||||
| 6 | Quản trị công nghệ truyền thông | 7340410 | ||||||
| 7 | Digital Marketing | 7340114 | ||||||
| 8 | Tài chính – Ngân hàng | 7340201 | ||||||
| 9 | Kế toán | 7340301 | ||||||
| 10 | Công nghệ tài chính | 7340205 | 17,0 | 19,45 | 19,45 | 652 | ||
| 11 | Kinh doanh Quốc tế | 7340120 | 15 | 18 | 18 | 600 | ||
| 12 | Thương mại điện tử | 7340122 | ||||||
| 13 | Luật | 7380101 | ||||||
| 14 | Luật kinh tế | 7380107 | ||||||
| 15 | Truyền thông đa phương tiện | 7320104 | ||||||
| 16 | Quan hệ công chúng | 7320108 | ||||||
| 17 | Logistic và quản lý chuỗi cung ứng | 7510605 | ||||||
| 18 | Quản trị khách sạn | 7810201 | ||||||
| Quản trị khách sạn Elite | 7810201E | |||||||
| 19 | Quản trị nhà hàng và dịch vụ ăn uống | 7810202 | ||||||
| Quản trị nhà hàng và dịch vụ ăn uống Elite | 7810202E | |||||||
| 20 | Quản trị dịch vụ du lịch và lữ hành | 7810103 | ||||||
| 21 | Công nghệ thông tin | 7480201 | ||||||
| 22 | Trí tuệ nhân tạo | 7480107 | 16,0 | 18,73 | 18,73 | 626 | 18 | |
| 23 | Kỹ thuật phần mềm | 7480103 | 15 | 18 | 18 | 600 | ||
| 24 | Ngôn ngữ Anh | 7220201 | ||||||
| 25 | Ngôn ngữ Trung Quốc | 7220204 | ||||||
| 26 | Ngôn ngữ Hàn Quốc | 7220210 | ||||||
| 27 | Thiết kế Thời trang | 7210404 | ||||||
| 28 | Thiết kế Đồ họa | 7210403 | ||||||
| 29 | Nghệ thuật số | 7210408 | ||||||
| 30 | Thiết kế Nội thất | 7580108 | ||||||
| 31 | Tâm lý học | 7310401 |
(*) Điểm học bạ THPT là tổng điểm trung bình học kỳ 2 lớp 11, học kỳ 1 lớp 12 và học kỳ 2 lớp 12; tổng điểm trung bình cả năm lớp 10, lớp 11 và cả năm lớp 12; tổng điểm trung bình (03) ba môn trong tổ hợp môn và điểm ưu tiên (nếu có).
(**) Điểm thi Đánh giá năng lực ĐH Quốc Gia TP.HCM đạt từ 600 điểm trở lên (thang điểm 1200, quy đổi thang điểm 30 là 15/30) và ĐH Quốc gia Hà Nội đạt từ 67 điểm trở lên (thang điểm 150, quy đổi thang điểm 30 là 15/30).
(***) Đối với phương thức tuyển thẳng (Phương thức 5), đạt điều kiện đáp ứng ngưỡng đầu vào theo quy định của phương thức. Trường quy đổi các điều kiện đáp ứng ngưỡng đầu vào theo thang điểm 30 là 18 điểm.
Độ lệch điểm giữa các tổ hợp xét tuyển theo điểm thi THPT (phương thức 1) bằng 0 ở tất cả các tổ hợp.
PHỤ LỤC 2
Quy tắc quy đổi điểm trúng tuyển tương đương giữa các phương thức
Căn cứ theo hướng dẫn của Bộ Giáo dục và Đào tạo về việc quy đổi điểm giữa các phương thức xét tuyển, Trường Đại học Hoa Sen công bố công thức quy đổi điểm tương ứng nhằm bảo đảm tính tương thích về thang điểm, tạo điều kiện để các phương thức xét tuyển vận hành hiệu quả trên cùng hệ quy chiếu, đồng thời đảm bảo nguyên tắc công bằng, minh bạch và tạo thuận lợi tối đa cho thí sinh.
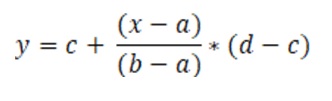
Cụ thể, mức điểm chuẩn giữa các phương thức xét tuyển khác nhau được quy đổi từ bảng phân vị tương quan với các giá trị khoảng điểm phân vị cụ thể thực hiện nội suy hàm. Theo đó, từ mức điểm chuẩn x thuộc khoảng phân vị [a,b) của phương thức tuyển sinh này sẽ được nội suy tương đương sang mức điểm chuẩn y thuộc khoảng phân vị [c,d) tương ứng với phương thức tuyển sinh khác theo công thức:
Công thức quy đổi điểm:

Trong đó:
x là điểm xét tuyển theo học bạ THPT, điểm ĐGNL hoặc điểm phỏng vấn của thí sinh
y là điểm quy đổi về điểm thi THPT (phương thức gốc)
a,b: là biên của khoảng điểm xét tuyển theo học bạ THPT, điểm ĐGNL hoặc điểm phỏng vấn
(a < x ≤ b)
c,d: là biên của khoảng điểm thi THPT tương ứng(c < y ≤ d)
| Khoảng phân vị | Điểm thi THPT | Kết quả học tập THPT (học bạ), phỏng vấn | Điểm ĐGNL TPHCM | |||
| c | d | a | b | a | b | |
| Khoảng 1 | 15 | 17 | 18 | 19,45 | 600 | 652 |
| Khoảng 2 | 17 | 22 | 19,45 | 24,45 | 653 | 886 |
| Khoảng 3 | 22 | 25,75 | 24,45 | 27,50 | 887 | 932 |
| Khoảng 4 | 25,75 | 30 | 27,50 | 30 | 933 | 1122 |