Bảng quy đổi điểm trúng tuyển tương đương giữa các phương thức xét tuyển đại học hệ chính quy Đại học Hoa Sen năm 2025
Hội đồng tuyển sinh trình độ đại học chính quy Trường Đại học Hoa Sen thông báo bảng quy đổi điểm trúng tuyển tương đương giữa các phương thức xét tuyển đại học chính quy năm 2025.
Căn cứ theo hướng dẫn của Bộ Giáo dục và Đào tạo về việc quy đổi điểm giữa các phương thức xét tuyển, Trường Đại học Hoa Sen công bố công thức quy đổi điểm tương ứng nhằm bảo đảm tính tương thích về thang điểm, tạo điều kiện để các phương thức xét tuyển vận hành hiệu quả trên cùng hệ quy chiếu, đồng thời đảm bảo nguyên tắc công bằng, minh bạch và tạo thuận lợi tối đa cho thí sinh.
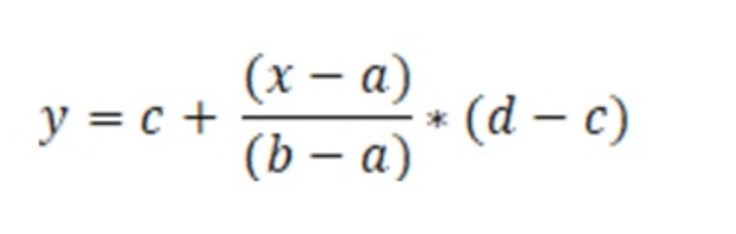
Cụ thể, mức điểm chuẩn giữa các phương thức xét tuyển khác nhau được quy đổi từ bảng phân vị tương quan với các giá trị khoảng điểm phân vị cụ thể thực hiện nội suy hàm. Theo đó, từ mức điểm chuẩn x thuộc khoảng phân vị [a,b) của phương thức tuyển sinh này sẽ được nội suy tương đương sang mức điểm chuẩn y thuộc khoảng phân vị [c,d) tương ứng với phương thức tuyển sinh khác theo công thức:

Trong đó:
- x là điểm xét tuyển theo học bạ THPT, điểm ĐGNL hoặc điểm phỏng vấn của thí sinh
- y là điểm quy đổi về điểm thi THPT (phương thức gốc)
- a,b: là biên của khoảng điểm xét tuyển theo học bạ THPT, điểm ĐGNL hoặc điểm phỏng vấn (a < x ≤ b)
- c,d: là biên của khoảng điểm thi THPT tương ứng(c < y ≤ d)
| Khoảng phân vị | Điểm thi THPT | Kết quả học tập THPT (học bạ), phỏng vấn | Điểm ĐGNL TPHCM | |||
| c | d | a | b | a | b | |
|
Khoảng 1 |
15 |
17 |
18 |
19,45 |
600 |
652 |
|
Khoảng 2 |
17 |
22 |
19,45 |
24,45 |
653 |
886 |
|
Khoảng 3 |
22 |
25,75 |
24,45 |
27,50 |
887 |
932 |
|
Khoảng 4 |
25,75 |
30 |
27,50 |
30 |
933 |
1122 |
Chọn HSU là nguyện vọng 1 để trở thành tân sinh viên Hoa Sen và hưởng các chính sách ưu đãi học phí lên đến 70%
🔗 Fanpage: facebook.com/HoaSenUni
🔎 Tuyển sinh: tuyensinh.hoasen.edu.vn